서울시 서대문센터 | 2026년 서울시 가치동행일자리 [지역복지사업단] 최종합격자 발표
  • 본문 바로가기
  • 주 메뉴 바로가기

일자리몽땅

라이프몽땅

자치구센터

  • 동작
  • 영등포
  • 노원
  • 서대문
  • 성북
  • 금천
  • 강서
  • 서초
  • 강동
  • 양천
  • 성동
  • 강북
  • 관악
  • 동대문
  • 용산
50플러스센터
포털 아이콘

포털

캠퍼스 아이콘

캠퍼스

센터 아이콘

센터

캠퍼스/센터 위치
|
50+ 유관 사이트
|
자주하는질문
|
즐겨찾기 등록
로그인
|
회원가입[개인/기업]
|
아이디·비밀번호 찾기
  • 알림마당
    • 공지사항
    • 센터소식
    • 언론보도
    • 자료실
    • 정보공유
    • 이용 문의
  • 사업안내
    • 인생설계
    • 일·활동
    • 서울런4050
  • 프로그램
    • 수강신청
    • 신청·면제·환불방법
    • 뭐라도 온라인 학교
    • 상담 신청하기
  • 커뮤니티
    • 커뮤니티 안내
    • 커뮤니티 목록
  • 인큐베이팅
    • 인큐베이팅 안내
  • 사회공헌/일자리
    • 사회공헌 일자리
    • 활동 소식
    • 기타 일자리 정보
  • 센터소개
    • 우리 센터는
    • 함께하는 사람들
    • 공간 안내
    • 운영 법인
    • 오시는 길
  • 로그인
  • 회원가입[개인/기업]
  • 포털
  • 재단
  • 40대
  • 시니어
  • 박람회
  • 서부
  • 중부
  • 남부
  • 북부
  • 동부
  • 동작
  • 영등포
  • 노원
  • 서대문
  • 성북
  • 금천
  • 강서
  • 서초
  • 강동
  • 양천
  • 성동
  • 강북
  • 관악
  • 동대문
  • 용산
  • 알림마당

    메뉴열기 메뉴닫기
    • 공지사항
    • 센터소식
    • 언론보도
    • 자료실
    • 정보공유
    • 이용 문의
  • 사업안내

    메뉴열기 메뉴닫기
    • 인생설계
    • 일·활동
    • 서울런4050
  • 프로그램

    메뉴열기 메뉴닫기
    • 수강신청
    • 신청·면제·환불방법
    • 뭐라도 온라인 학교
    • 상담 신청하기
  • 커뮤니티

    메뉴열기 메뉴닫기
    • 커뮤니티 안내
    • 커뮤니티 목록
  • 인큐베이팅

    메뉴열기 메뉴닫기
    • 인큐베이팅 안내
  • 사회공헌/일자리

    메뉴열기 메뉴닫기
    • 사회공헌 일자리
    • 활동 소식
    • 기타 일자리 정보
  • 센터소개

    메뉴열기 메뉴닫기
    • 우리 센터는
    • 함께하는 사람들
    • 공간 안내
    • 운영 법인
    • 오시는 길
  • 캠퍼스/센터 위치
  • 유관사이트
  • 자주하는질문
  • ENG
홈
알림마당
공지사항

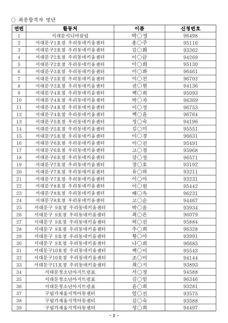
2026년 서울시 가치동행일자리 [지역복지사업단] 최종합격자 발표

페이스북 공유 카카오톡 공유 트위터 공유 밴드 공유

태그:

지역복지 ,

합격자발표 ,

가치동행일자리

연관키워드:

서대문50플러스센터, 합격자공고
이용약관
|
개인정보처리방침
|
사이트맵
|
캠퍼스 및 센터 위치
대관하기
서울특별시 50플러스재단 서울특별시 로고

SNS :

facebook

youtube

kakao naver blog
서울특별시청 50플러스포털 서울시50플러스 서부캠퍼스 서울시50플러스 중부캠퍼스 서울시50플러스 남부캠퍼스 서울시50플러스 북부캠퍼스 서울시50플러스 동부캠퍼스 노원50플러스센터 도심권50플러스센터 동작50플러스센터 영등포50플러스센터 서대문50플러스센터 성북50플러스센터 금천50플러스센터 강서50플러스센터 서초50플러스센터 강동50플러스센터 양천50플러스센터 성동50플러스센터 강북50플러스센터 관악50플러스센터 동대문50플러스센터 용산50플러스센터 시니어일자리지원센터 40대직업캠프 서울시 시니어 일자리 박람회 원격지원서비스
서대문50플러스센터 (우03628) 서울시 서대문구 통일로 484 서대문구 취창업허브센터(유진상가) 2층 사업자등록번호 : 126-80-51007
전화02-394-5060 이메일 sdm@50center.or.kr
팩스 02-396-5060

Copyright © 2017 Seoul 50 Plus Foundation
All right reserved.